Ein wesentlicher Kritikpunkt vieler Nutzer an Smartwatches und GPS-Outdoor-Uhren ist ihre begrenzte Akkulaufzeit. Garmin konnte die Akkulaufzeit der fenix 6-Serie durch div. technische Maßnahmen gegenüber der Vorgänger Version fenix 5/Plus deutlich verlängern. Wir haben das Thema bereits in einem eigenen Video ausführlich besprochen: Video Garmin fenix 6-Serie Akkulaufzeit und Energie-Einstellungen
In diesem Test geht es um die Solarladefunktion und mögliche Laufzeitverlängerung der Garmin fenix 6X Pro Solar dem Top-Modell der gesamten fenix 6-Serie.
Video
Der Inhalt dieses Artikels wird in wesentlichen auch in dem folgenden Video erklärt und besprochen:
Sie sehen gerade einen Platzhalterinhalt von Youtube. Um auf den eigentlichen Inhalt zuzugreifen, klicken Sie auf die Schaltfläche unten. Bitte beachten Sie, dass dabei Daten an Drittanbieter weitergegeben werden.
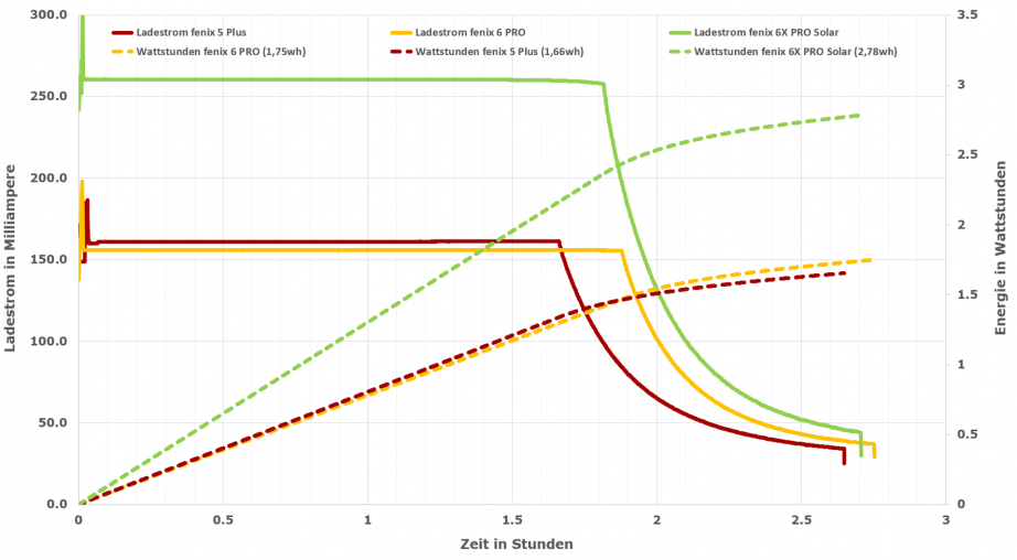
Ladezeit und geschätzte Akkukapazität
Die längste Laufzeit aller fenix 6 Modelle hat die fenix 6X PRO Serie. Die längere Akkulaufzeit ist vor allem einem größeren Akku zu verdanken. Wir haben die Kapazität gemessen, welche nötig ist, um die Uhren vollständig zu laden. Daraus lassen sich dann leicht Rückschlüsse auf die verbaute Akkukapazität ziehen.
Zieht man 1/3 der Kapazität für Ladeverluste ab, ergeben sich folgende Schätzungen der Akkukapazität:
- Garmin fenix 6X PRO (Solar): 500mAh
- Garmin fenix 6 PRO: 300mAh
- Garmin fenix 5 Plus: 280-300mAh
(die Uhr im Test war bereits knapp ein Jahr alt und die reduzierte Kapazität gegenüber der fenix 6 kann auch bereits altersbedingt sein.)
Das Verhältnis der geschätzten Akkukapazitäten passt auch gut zu den von Garmin vorhergesagten Akkulaufzeiten der Uhren:
Quelle: Garmin
Garmin fenix 6X PRO Solar
Die Solarversion der Garmin fenix 6X Pro soll nun noch mal deutlich längere Laufzeiten bieten. Das Versprechen von Garmin dazu sieht wie folgt aus:
Die von Garmin genannten 50.000 LUX sind durchaus sehr helle Bedingungen. Hier einige Beispiele für Beleuchtungsstärken:
- klarer Himmel, Sonnenhöhe 60° (Mitteleuropa mittags im Sommer): 90.000 LUX
- klarer Himmel, Sonnenhöhe 16° (Mitteleuropa mittags im Winter): 20.000 LUX
- bedeckter Himmel, Sonnenhöhe 60° (mittags im Sommer): 19.000 LUX
(Quelle: DIN 5034-2 Tageslicht in Innenräumen; Grundlagen Ausgabe 1985-02)
Die Einheit LUX ist nicht unbedingt gebräuchlich, wenn es um die Bewertung von Solaranwendungen geht. Im Zusammenhang mit der Leistung von Solarzellen wird häufig die Einheit Watt/m2 verwendet. Diese Einheit wird von dem in unserem Test verwendeten Solarmessgerät verwendet. Eine 1:1 Umrechnung der Einheiten ist nicht so ganz einfach, da es sich um unterschiedliche Lichtspektren handelt. Die 50.000 LUX entsprechen aber in Bezug auf das Tageslicht ca. 600-800 Watt/m2 und sind somit auf jeden Fall eine sehr helle Umgebung die nur (von Ausnahmefällen, wie z.B. ein OP-Saal mal abgesehen) Outdoor und mit Sonnenlicht zu erreichen ist.
Solarzelle
Bevor wir zu unserem Testergebnis kommen möchten wir die Frage klären, wie und wo die Solarzelle in der Garmin fenix 6X PRO Solar verbaut ist. Die Solarzelle ist in zwei Bereiche unterteilt. Um das Display sieht man einen schmalen Ring der als Solarzelle ausgebildet ist. Darüber hinaus ist hinter dem Display eine semitransparente Solarzelle verbaut. Garmin nennt diese Technik „Garmin Power Glass“. Da die in der Garmin fenix 6X Pro Solar verbaute Displaytechnik allerdings ein reflektives Display hat welches in der Regel nur passiv beleuchtet wird, reduziert die Solarzelle die Reflexion etwas. Im direkten Vergleich mit einer normalen fenix 6 wirkt das Display der Solar Version daher minimal dunkler und zeigt etwas weniger Kontrast.

Der Unterschied ist allerdings so gering, dass er wirklich nur im direkten Vergleich auffällt. Vergleicht man die Garmin fenix 6X Pro Solar allerdings mit der fenix 6X Saphir, ist quasi kein Unterschied mehr vorhanden. Die Ursache ist leicht erklärt, das ultraharte Saphir-Glas schluckt ebenfalls etwas Licht und wird daher auch nicht in Kombination mit der Solarfunktion angeboten. In Summe wäre die Reduktion dann doch zu deutlich und würde sicher als Kritikpunkt empfunden.
Auch wenn die minimal schlechtere Reflektion in der Praxis kein Grund zur Kritik ist haben wir es erwähnt, um zu verstehen wie die Solarzelle arbeitet. Letztendlich ist es das „etwas weniger Licht“ was die Solarzelle nutzt und in Energie umwandelt (+ den Teil aus dem Ring um das Display). Würde man also eine deutlich höhere Energieausbeute der hinter dem Display verbauten Solarzelle wünschen, müsste man weniger Licht reflektieren und das Display wäre noch dunkler. Dieser Zusammenhang zeigt, wie schwierig das Thema letztendlich ist Solarzelle und Display auf einer Fläche unterzubringen.
Solarfunktion im Test, unser Ergebnis
Wir haben die Uhr im Winter getestet und bei bestem Wetter, ca. 5-10 °C, klarem Himmel und perfekter Ausrichtung (inkl. Nachführung) immer bis zu 5 Stunden bei einem Mittelwert von 750 Watt/m2 erreicht. Die Uhr haben wir während der Tests ausgeschaltet, denn auch ausgeschaltet wird der Akku geladen. Wir haben den Test mehrfach wiederholt, damit die recht grobe Prozent-Anzeige des Ladezustandes der Uhr keinen wesentlichen Einfluss auf das Ergebnis hat. Die Ergebnisse hatten eine recht große Streuung obwohl scheinbar alle Parameter gleich waren. Wir konnten die Uhr im Schnitt innerhalb der 5 Stunden bei 750 Watt/m2 (Mittelwert) zu 4-6 Prozent laden. Im Sommer ist bestenfalls eine geringe Steigerung zu erwarten, denn mit höheren Temperaturen sinkt der Wirkungsgrad der Solarzellen und gleicht damit die etwas höhere Energie der Einstrahlung wieder aus. Man kann also grob sagen: gut ein Prozent pro Stunde sind maximal möglich (Uhr aus)
Sind die von Garmin zugesagten Laufzeitverlängerungen realistisch?
Unser Test zeigt klar, theoretisch und rein rechnerisch sind die Laufzeitverlängerungen problemlos möglich. Doch das Problem an der Sache sind die 50.000 LUX, die für 3 Stunden am Tag erreicht werden müssen. Wird die Uhr am Arm getragen, müssen schon viele Umstände zusammenkommen, um auf diese Summe pro Tag zu kommen und das jeden Tag! Es müsste nur Sonnentage geben, keine Wolken, kein Wald, kein Körper der Schatten wirft und natürlich keine Innenräume. Selbst wenn man im Freien arbeitet, niemand wird stundenlang in der prallen Sonne stehen und das an sieben Tagen die Woche. Garmin berechnet eine Laufzeitverlängerung von 15 auf 16 Stunden (GPS mit Musik) wenn man während der gesamten Zeit 50.000 LUX auf die Uhr bekommt. Ein solches Training wäre der blanke Horror den man müsste völlig unverschattet trainieren und selbst dann ist es schwer durchgängig 50.000 LUX zu erreichen.

Ist das ganze nur ein Marketing Trick?
Nein das sicher nicht! Die Laufzeit wird definitiv verlängert, vor allem im Energiesparmodus können durchaus einige Tage hinzukommen. Wer die Möglichkeit hat die Uhr immer mal wieder an einen sonnigen Platz zu legen, kann im Energiesparmodus sicher sehr sehr lange auch ganz ohne Ladung auskommen. Doch am Arm und während eines Trainings, reichen weder Zeit noch Lichtausbeute, um die Laufzeit wesentlich zu verlängern!
Anzeige der Energieausbeute
Garmin zeigt im Uhrendisplay und einem bestimmten Widget die aktuelle sowie die Solarausbeute der letzten 6 Stunden. Dabei haben wie folgende Abstufung getestet:
- 100% bei 450 Watt/m2
- 50% bei 230 Watt/m2
- 10% bei 100 Watt/m2
Die Uhr zeigt also bereits bei 450 Watt/m2 an die maximale Ladeleistung erreicht zu haben. Zunächst hat uns dieser Test Hoffnung gemacht, schließlich hatten wir mit 750 Watt/m2 getestet und es wäre ja nicht ausgeschlossen, dass die gleiche Leistung auch schon bei 450 Watt/m2 erreicht würde. Leider ist das nicht der Fall, bei 450 Watt/m2 reduziert sich die Ladeleistung auf 0,25 Prozent pro Stunde und damit um 3/4 was auch zu erwarten war.
Zusammenfassung
Es war nicht leicht die Solarfunktion der Garmin fenix 6X Pro Solar zu testen, daher sind unsere Testergebnisse mit einem deutlichen Sicherheitsaufschlag zu bewerten. Uns ist z.B. aufgefallen, dass es leichter ist die Uhr von 5 auf 10 Prozent zu laden als von 80 auf 85 Prozent. Das Testergebnis hat damit sicher einige Unsicherheiten, deckt sich aber mit anderen Ergebnissen, die in Foren zu finden sind.
Diesen Hintergrund vor Augen kann man sagen: die Solarfunktion entspricht den Spezifikationen, die von Garmin versprochen werden. In der Praxis und mit der Uhr am Arm ist es allerdings schwierig die benötigte Helligkeit über lange Zeiträume zu erreichen. Die praktische Laufzeitverlängerung wird daher in vielen Fällen hinter den Erwartungen zurückbleiben. Die Solarfunktion ist aber technisch faszinierend und verleitet zu Spielereien mit dem Ziel möglichst wenig Energie zu verbrauchen bzw. die Uhr mit Hilfe der Sonne sogar etwas aufzuladen. Ob diese Funktion den geforderten Mehrpreis wert ist, kann nur jeder für sich entscheiden. Wir sind gespannt, ob es Garmin gelingt in Zukunft die Ladeleistung weiter zu steigern, denn der Weg ist bereits gut und richtig.
Das ganze Thema wird von uns auch noch in folgendem Video ausführlich besprochen: Video Solarfunktion der Garmin fenix 6X Pro Solar…
Preise der fenix 6X Serie
Die Garmin fenix 6X PRO kostet:
Die Garmin fenix 6X PRO Saphir kostet:
Die Garmin fenix 6X PRO Solar ksotet:
Weitere Links
- Garmin fenix 6X Pro Solar bei Amazon kaufen (und pocketnavigation.de damit unterstützen…)
- Video: Garmin fenix 6 Serie Akkulaufzeit und Energie-Einstellungen
- Video: Garmin fenix 6 Qualität der Positionsbestimmung im Vergleich
- Video: Garmin fenix 6 MIP Display im Vergleich zu AMOLED Display (Garmin venu)
- Video: Garmin fenix 6 Serie optischer HR-Sensor im Test
- Test: Garmin fenix 6 Serie optischer HR-Sensor (pocketnavigation.de)
- News: Garmin fenix 6 Serie vorgestellt (pocketnavigation.de)
Unterstütze uns
pocketnavigation.de ist unabhängig und versucht sich durch Werbung und die Unterstützung seiner Leser zu finanzieren. Um die Webseite täglich mit neuen News und Testberichten rund um das Thema GPS-Navigation aktuell zu halten, investieren wir viel Zeit und Herzblut. Wenn Dir gefällt, was Du liest und siehst, würden wir uns freuen, wenn Du unsere Arbeit unterstützt. Dazu gibt es die folgenden Möglichkeiten:
Per PayPal
Sende uns einen beliebigen Betrag auf unser PayPal Konto. Dabei ist es egal, ob Du 10 Cent, 1 Euro oder 10 Euro überweist. Jeder Betrag hilft dabei, unsere Arbeit auch weiterhin im gewohnten Umfang anbieten zu können.
Kauf über Amazon
Nutze für Deinen nächsten Einkauf bei Amazon.de unseren Partnerlink. Dadurch erhalten wir nach Deiner Bestellung automatisch eine kleine Provision, ohne dass Du zusätzlich etwas dafür tun oder investieren musst.
Kauf über ebay
Auch mit einem Einkauf über unseren ebay Partnerlink kannst Du uns unterstützen. Bei ebay findest Du viele der auf pocketnavigation.de vorgestellten Produkte neu aber auch gebraucht und kannst dabei sogar richtige Schnäppchen machen.
Weitersagen
Wenn Du anderen von unserer Webseite erzählst oder den Link zu unserer Webseite auf Facebook, Twitter oder per E-Mail teilst, machst Du pocketnavigtion.de bekannter und unterstützt uns damit ebenfalls.
Nutzung unsere Android Apps
Nutze unsere Android Apps und schreibe eine gute Bewertung:
Android Apps von pocketnavigation.de bei google Play.
Wir bieten Apps zum Preisvergleich von Tankstellen, zur Warnung vor POIs/Blitzern sowie für die Suche nach Camping- und Stellplätzen!













Garmin geht ja bei GPS/Glonass Nutzung von 1,66% Akkuverbrauch pro Stunde aus (60 Stunden/24= 2.5 Tage, (100%/1,66= 60), was doch sehr optimistisch ist. Nutzt man z. B. bei einer Navigation auf einer Karte die Kartenanzeige, gehadert Akkuverbrauch pro Stunde deutlich hoch. Garmin gibt beim Solarladezuwachs im GPS Betrieb maximal + 6 Stunden in 60 Stunden (2,5 Tagen) Betrieb an. Das sind maximal ca. 4 %. Oder habe ich da irgendwo einen Rechen-/Gedankenfehler übersehen?
+6h bei 60 Stunden wären aber +10 Prozent…
Was meinst Du wären maximal 4%?
Stimmt, da habe ich mich vertan. Also max. 10% zusätzlich in 2,5 Tagen möglich. Die Solarladefunktion zur Unterstützung ist aber eine super Sache. Ist ja der erste praktische Test dieser Funktion seitens Garmin für ein wearable. Bin gespannt, wie sich das weiterentwickeln wird.
ja ist auf jeden Fall und grundsätzlich super! Aber die 10 % an nur 2,5 Tagen zu erreichen ist halt am Arm sehr schwer. Du brauchst laut Garmin dafür durchgehend 50.000 LUX und unser Test bestätigt, dass Du mind. 10 Stunden perfekte und direkte Ausrichtung zu Sonne haben muss. Am Arm ist das in 2,5 Tagen selbst im Hochsommer schwer erreichbar, im Schatten ist selbst im Sommer so gut wie gar nichts möglich. Also verstehe mich und die Tests nicht falsch, ich finde die Solarfunktion super, aber es muss konsiquent in die Richtung weitergegangen werden. Da ist noch viel ungenutzte Fläche, der Ring um das Display könnte auch locker 2-3x so breit sein ohne die Uhr als Ganzes größer machen zu müssen. Die Armbänder und Übergänge zwischen Uhr und Armband sind sicher auch noch potenzielle Flächen usw.
Habe grade die Garmin auf einer skitour dabei gehabt. Wetter teils bewölkt. Für eine 6h Tour zeigt die Garmin 240.000Lux stunden an.
Das maximum an Einstrahlung holt man in den schneebedeckten Bergen:)
Ist also alles möglich.
Da gebe ich Dir vollkommen Recht. Hatte ich auch schon für mich ausführlich ausgetestet. Mit meinem alten mobilen faltbaren Solarpanel (ca. 20 x 35 cm) bekomme ich während einer 30 minütigen Pause (Solarpanel direkt Auf die Sonne ausgerichtet) schon wesentlich mehr als 10% auf meine 6xPS geladen.
Hallo,
habe die Uhr auch im Einsatz, aber leider noch nicht testen können.
Ich bin gespannt.
Vielen Dank
LG
Follka